LA COMMISSIONE EUROPEA,
visto il trattato sul funzionamento dell’Unione europea,
visto il regolamento (UE) 2017/625 del Parlamento europeo e del Consiglio, del 15 marzo 2017, relativo ai controlli ufficiali e alle altre attività ufficiali effettuati per garantire l’applicazione della legislazione sugli alimenti e sui mangimi, delle norme sulla salute e sul benessere degli animali, sulla sanità delle piante nonché sui prodotti fitosanitari, recante modifica dei regolamenti (CE) n. 999/2001, (CE) n. 396/2005, (CE) n. 1069/2009, (CE) n. 1107/2009, (UE) n. 1151/2012, (UE) n. 652/2014, (UE) 2016/429 e (UE) 2016/2031 del Parlamento europeo e del Consiglio, dei regolamenti (CE) n. 1/2005 e (CE) n. 1099/2009 del Consiglio e delle direttive 98/58/CE, 1999/74/CE, 2007/43/CE, 2008/119/CE e 2008/120/CE del Consiglio, e che abroga i regolamenti (CE) n. 854/2004 e (CE) n. 882/2004 del Parlamento europeo e del Consiglio, le direttive 89/608/CEE, 89/662/CEE, 90/425/CEE, 91/496/CEE, 96/23/CE, 96/93/CE e 97/78/CE del Consiglio e la decisione 92/438/CEE del Consiglio (regolamento sui controlli ufficiali), in particolare l’articolo 34, paragrafo 6,
considerando quanto segue:
(1) Il regolamento (UE) 2017/625 disciplina l’esecuzione dei controlli ufficiali e delle altre attività ufficiali effettuate dalle autorità competenti degli Stati membri al fine di verificare la conformità alla normativa dell’Unione nel settore, tra gli altri, della sicurezza degli alimenti e dei mangimi in tutte le fasi della produzione, della trasformazione e della distribuzione. Esso prevede norme specifiche sui controlli ufficiali in relazione a sostanze il cui impiego può dar luogo a residui negli alimenti e nei mangimi e stabilisce prescrizioni generali relative ai metodi da utilizzare per il campionamento e le analisi e le prove di laboratorio durante i controlli ufficiali e le altre attività ufficiali.
(2) Gli articoli 34, 35 e 36 del regolamento (UE) 2017/625 e il regolamento delegato (UE) 2021/2244 della Commissione stabiliscono norme generali in materia di campionamento e analisi.
(3) Il regolamento (CE) n. 396/2005 del Parlamento europeo e del Consiglio stabilisce livelli massimi di residui («LMR») di antiparassitari in o su alimenti e mangimi di origine vegetale e animale.
(4) La direttiva 2002/63/CE della Commissione prevede metodi di campionamento ai fini del controllo ufficiale dei residui di antiparassitari sui e nei prodotti di origine vegetale e animale.
(5) Tuttavia la direttiva 2002/63/CE non rispecchia più le migliori pratiche nel settore dei residui di antiparassitari sui e nei prodotti di origine vegetale e animale.
(6) È necessaria maggiore chiarezza per quanto riguarda le norme in materia di campionamento per alcune categorie di prodotti di cui all’allegato I del regolamento (CE) n. 396/2005, in particolare le categorie «Miele e altri prodotti dell’apicoltura», «Anfibi e rettili», «Animali invertebrati terrestri», «Animali vertebrati terrestri selvatici» e «Pesci, prodotti ittici e altri prodotti alimentari d’acqua marina e d’acqua dolce». È inoltre necessario chiarire le prescrizioni in materia di campionamento per i prodotti di elevato valore, i prodotti di dimensioni molto grandi e alcuni alimenti trasformati, nonché per gli integratori alimentari.
(7) I laboratori di riferimento dell’Unione europea nel settore dei residui di antiparassitari hanno elaborato il documento di orientamento «Analytical Quality Control and Validation Procedures for pesticide residues analysis in food and feed». Poiché tale documento di orientamento rispecchia le migliori conoscenze tecnologiche aggiornate, i principi in esso contenuti in materia di comunicazione e interpretazione dei risultati dovrebbero diventare vincolanti per garantire un’esecuzione uniforme da parte degli Stati membri.
(8) Il regolamento (CE) n. 152/2009 della Commissione stabilisce metodi di campionamento e di analisi per i controlli ufficiali dei mangimi. Per quanto riguarda il prelievo dei campioni e la loro preparazione per l’analisi ai fini del controllo dei residui di antiparassitari nei mangimi, le norme di cui all’allegato I e all’allegato II, parte A, del regolamento (CE) n. 152/2009 non sono interessate dal presente regolamento e devono continuare ad applicarsi. Per quanto riguarda il metodo per le analisi di laboratorio, l’incertezza di misura e l’interpretazione dei risultati analitici ai fini del controllo dei residui di antiparassitari nei mangimi, sono necessarie norme specifiche, che dovrebbero pertanto essere stabilite nel presente regolamento.
(9) È pertanto opportuno aggiornare le disposizioni specifiche sul campionamento di cui alla direttiva 2002/63/CE e prevedere norme relative all’analisi per il controllo dei residui di antiparassitari in e su alimenti e mangimi di origine vegetale e animale.
(10) A fini di chiarezza e leggibilità è opportuno abrogare la direttiva 2002/63/CE e sostituirla con il presente regolamento.
(11) In considerazione del tempo e delle risorse necessari affinché gli Stati membri si adeguino alle nuove norme, è opportuno che il presente regolamento si applichi a decorrere dal 1o gennaio 2027.
(12) Le misure di cui al presente regolamento sono conformi al parere del comitato permanente per le piante, gli animali, gli alimenti e i mangimi,
HA ADOTTATO IL PRESENTE REGOLAMENTO:
Articolo 1
Oggetto
Il presente regolamento stabilisce norme:
— concernenti i metodi di campionamento e la preparazione dei campioni per l’analisi degli alimenti;
— concernenti i metodi per le analisi di laboratorio, l’incertezza di misura e l’interpretazione dei risultati analitici per gli alimenti e i mangimi;
ai fini della verifica della conformità ai livelli massimi di residui di antiparassitari in o su alimenti e mangimi di origine vegetale e animale di cui al regolamento (CE) n. 396/2005.
Articolo 2
Definizioni
Oltre alle definizioni di cui all’articolo 3 del regolamento (CE) n. 396/2005, ai fini del presente regolamento si applicano le seguenti definizioni:
(1) «lotto»: quantità identificabile di alimenti e mangimi consegnata in una sola volta e per la quale il funzionario responsabile del campionamento accerta la presenza di caratteristiche comuni (quali origine, produttore, varietà, specie, zona di cattura, imballatore, tipo di imballaggio, marcature, ora di produzione o speditore);
(2) «sottolotto»: parte di un lotto destinata a essere sottoposta a campionamento conformemente all’allegato, sezione B.1;
(3) «lotto sospetto»: un lotto che, per qualsiasi motivo, è sospettato di contenere residui di antiparassitari che superino il rispettivo LMR fissato nel regolamento (CE) n. 396/2005;
(4) «lotto non sospetto»: lotto per il quale non vi è indicazione del fatto che possa contenere residui di antiparassitari che superino gli LMR fissati nel regolamento (CE) n. 396/2005;
(5) «campionamento»: la selezione di un campione destinato all’analisi di laboratorio;
(6) «funzionario responsabile del campionamento»: una persona incaricata dalle autorità competenti di prelevare campioni di alimenti e mangimi ai fini del controllo dei residui di antiparassitari;
(7) «campione»: una o più unità selezionate da un insieme di unità, oppure una porzione di materiale selezionata da una quantità più grande;
(8) «campione elementare»: quantità di materiale prelevata in un punto specifico del lotto o del sottolotto;
(9) «unità»: la più piccola porzione distinta di un lotto o di un sottolotto, prelevata per costituire la totalità o una parte di un campione elementare;
(10) «campione globale»: campione ottenuto riunendo tutti i campioni elementari prelevati dal lotto o dai sottolotti;
(11) «campione ridotto»: parte del campione globale ottenuta mediante riduzione rappresentativa di quest’ultimo;
(12) «campione replicato»: un campione prelevato da un campione globale a fini di applicazione della normativa o nel quadro di controversie o procedure arbitrali conformemente all’articolo 35 del regolamento (UE) 2017/625;
(13) «campione di laboratorio»: campione inviato al laboratorio o ricevuto da quest’ultimo, che costituisce una quantità rappresentativa di materiale prelevato dal campione globale;
(14) «campione da analizzare»: materiale preparato a fini di analisi, prelevato dal campione di laboratorio;
(15) «porzione da analizzare»: quantità di materiale rappresentativa prelevata dal campione da analizzare, di entità sufficiente per la misura della concentrazione dei residui;
(16) «incertezza di misura»: parametro non negativo associato al risultato di una misurazione, che caratterizza la dispersione dei valori ragionevolmente attribuibili alla particolare quantità soggetta a misurazione;
(17) «limite di quantificazione»: concentrazione o massa più bassa dell’analita che è stata convalidata con una accuratezza accettabile applicando il metodo analitico completo e tutti i criteri di identificazione;
(18) «incertezza di misura estesa»: rappresenta l’incertezza di una misurazione attraverso un intervallo di confidenza, generalmente calcolato moltiplicando l’intervallo di valori che si prevede contenga il valore reale della misurazione per un fattore di copertura;
(19) «fattore di copertura (k)»: moltiplicatore utilizzato nel calcolo dell’incertezza di misura estesa, che fornisce un intervallo che si prevede contenga il valore reale di una misurazione.
Articolo 3
Metodi di campionamento e preparazione dei campioni per l’analisi degli alimenti
I campioni di alimenti sono prelevati e preparati conformemente all’allegato, parti A e B.
Articolo 4
Metodi di analisi, incertezza di misura e interpretazione dei risultati per alimenti e mangimi
L’analisi dei campioni, il calcolo dell’incertezza di misura e l’interpretazione dei risultati di tale analisi sono effettuati conformemente all’allegato, parte C, del presente regolamento per gli alimenti e, in deroga agli articoli 2 e 3 del regolamento (CE) n. 152/2009, per i mangimi.
Articolo 5
Abrogazione
La direttiva 2002/63/CE è abrogata.
I riferimenti alla direttiva abrogata si intendono fatti al presente regolamento.
Articolo 6
Entrata in vigore e applicazione
Il presente regolamento entra in vigore il ventesimo giorno successivo alla pubblicazione nella Gazzetta ufficiale dell’Unione europea.
Esso si applica a decorrere dal 1° gennaio 2027.
Il presente regolamento è obbligatorio in tutti i suoi elementi e direttamente applicabile in ciascuno degli Stati membri.
Fatto a Bruxelles, il 1o aprile 2026
Per la Commissione
La presidente
Ursula VON DER LEYEN
ALLEGATO
PROCEDURA DI CAMPIONAMENTO E DI ANALISI PER GLI ALIMENTI E I MANGIMI DI ORIGINE VEGETALE E ANIMALE PER LA DETERMINAZIONE DEI RESIDUI DI ANTIPARASSITARI AI FINI DEL CONTROLLO DELLA CONFORMITÀ AGLI LMR
PARTE A
Disposizioni generali per gli alimenti
Il campionamento è effettuato da un funzionario responsabile del campionamento.
Il funzionario responsabile del campionamento:
(a) è responsabile delle procedure, tra cui la preparazione, l’imballaggio e la spedizione dei campioni di laboratorio;
(b) garantisce il rispetto costante delle procedure di campionamento specificate;
(c) redige la documentazione per i campioni e collabora strettamente con il laboratorio competente;
(d) prende precauzioni per evitare qualsiasi effetto sui livelli di residui e qualsiasi effetto negativo sulla determinazione analitica o per evitare di rendere i campioni non rappresentativi nel corso del campionamento e del trasferimento dei campioni al laboratorio;
(e) sottopone a campionamento separatamente ciascun lotto o sottolotto da esaminare;
(f) qualora una partita consista di più lotti, considera ciascun lotto separatamente e decide cosa includere nel campione.
Se le dimensioni o i limiti di ciascun lotto facente parte di una partita di grandi dimensioni non sono chiaramente stabiliti, il funzionario responsabile del campionamento può considerare che altre barriere fisiche, come vagoni, camion o compartimenti di stiva, delimitino lotti o sottolotti distinti.
I campioni ottenuti presso i coltivatori sono prelevati presso l’azienda agricola, da prodotti pronti a essere immessi sul mercato.
PARTE B
PROCEDURE DI CAMPIONAMENTO PER GLI ALIMENTI
B.1 Divisione dei lotti in sottolotti
Se necessario e possibile, il funzionario responsabile del campionamento divide i lotti di dimensioni maggiori in sottolotti per garantire che tutte le parti siano rappresentate, a condizione che il sottolotto possa essere separato fisicamente. Il funzionario responsabile del campionamento provvede affinché ciascun sottolotto sia fisicamente separato e identificabile.
Alle partite di alimenti commercializzati sfusi (ad es. cereali) si applica la tabella 1.
Agli alimenti non commercializzati sfusi si applica la tabella 2.
Considerando che il peso dei lotti non è sempre un multiplo esatto del peso dei sottolotti, quest’ultimo può superare il peso indicato nelle tabelle 1 e 2 per un massimo del 20 %.
Tabella 1
Suddivisione dei lotti in sottolotti per gli alimenti commercializzati sfusi
| Peso del lotto (in tonnellate) | Peso massimo o numero massimo di sottolotti |
| ≥1 500 | 500 tonnellate |
| >300 e <1 500 | 3 sottolotti |
| ≥100 e ≤300 | 100 tonnellate |
| <100 | – |
Tabella 2
Suddivisione dei lotti in sottolotti per gli alimenti non commercializzati sfusi
| Peso del lotto (in tonnellate) | Peso dei sottolotti |
| ≥15 | 7,5-30 tonnellate |
| <15 | – |
B.2 Prelievo dei campioni elementari
Il funzionario responsabile del campionamento preleva campioni elementari da diversi punti scelti in modo casuale e distribuiti uniformemente in tutta la partita campionata; i campioni devono essere di dimensioni approssimativamente uguali. In casi eccezionali, qualora ciò non sia fisicamente possibile, il funzionario responsabile del campionamento preleva campioni elementari da punti casuali nella parte accessibile del lotto/sottolotto. In tali casi il funzionario responsabile del campionamento indica la procedura seguita nel verbale di campionamento.
Il funzionario responsabile del campionamento identifica le unità per i campioni elementari come indicato di seguito.
(a) Ortofrutticoli freschi
Ogni frutto intero, ogni ortaggio o grappolo/mazzo naturale di medie dimensioni (ad es. uva) costituisce un’unità, tranne nel caso di frutta, ortaggi o grappolo/mazzo di piccole dimensioni. Le unità di piccoli prodotti confezionati (ad es. ribes) possono essere identificate conformemente alla lettera e). Se il materiale non può essere danneggiato e non possono pertanto esservi conseguenze sui residui, è possibile utilizzare uno strumento di campionamento. Nel caso di banane e ortofrutticoli simili messi a disposizione in grappoli/mazzi, i singoli articoli sono considerati un’unità.
(b) Uova
Ogni uovo costituisce un’unità.
(c) Grandi animali o parti o organi degli stessi
Una parte o la totalità di un grande animale o di un suo organo specifico costituisce un’unità. Le parti o gli organi possono essere sezionati per costituire un’unità.
(d) Piccoli animali (eccetto gli insetti) o parti o organi degli stessi.
Ogni animale intero o ogni sua parte o suo organo completo può costituire un’unità. Se confezionate, le unità possono essere identificate come descritto alla lettera e). Quando si formano unità è possibile utilizzare uno strumento di campionamento se il materiale non può essere danneggiato e non possono pertanto esservi conseguenze sui residui.
(e) Materiali confezionati
Le singole confezioni più piccole devono essere considerate un’unità dello stesso lotto/sottolotto. Se le confezioni più piccole sono di dimensioni molto grandi, per quanto possibile devono essere sottoposte a campionamento come prodotti sfusi, come indicato alla lettera f). Se le confezioni più piccole sono di dimensioni molto piccole, un’unità può essere costituita da un insieme di confezioni e le confezioni devono essere considerate parte dello stesso lotto.
(f) Materiali sfusi e grandi confezioni (ad es. fusti o formaggi che sono individualmente troppo grandi per costituire campioni elementari).
Le unità sono formate per mezzo di uno strumento di campionamento.
Il numero minimo/la quantità minima di campioni elementari che il funzionario responsabile del campionamento deve prelevare da un lotto/sottolotto per costituire il campione globale sono determinati come indicato nella tabella 3.
I campioni elementari devono garantire una quantità sufficiente a consentire il prelievo dal campione globale di tutti i campioni di laboratorio, compresi i campioni replicati, a fini di analisi.
Per i prodotti per i quali è prelevato più di un campione elementare dal lotto/sottolotto, ciascun campione elementare deve contribuire in proporzione analoga al campione globale.
Se i campioni elementari sono prelevati a intervalli durante il carico o lo scarico di un lotto/sottolotto, il «punto» di campionamento è un punto nel tempo e il numero di campioni elementari è determinato tenendo conto delle dimensioni della partita campionata.
Il numero di unità richiesto per i campioni elementari è specificato nella tabella 3. Le dimensioni minime dei campioni di laboratorio sono specificate nelle tabelle 4, 5 e 6. Le unità possono essere prelevate utilizzando strumenti di campionamento, ad esempio:
(a) un campionatore a bicchiere, un ramaiolo, una sonda campionatrice, un coltello o un campionatore a lancia, utilizzati per prelevare un’unità da materiale sfuso, confezioni (come fusti o grandi formaggi) o unità di carni, pollame o pesce che sono troppo grandi per costituire un campione elementare;
(b) un divisore di campioni, utilizzato per preparare un campione di laboratorio a partire da un campione globale, oppure per preparare una porzione da analizzare a partire da un campione da analizzare.
Per materiali come le foglie sfuse, durante il campionamento manuale il funzionario responsabile del campionamento deve utilizzare guanti al fine di evitare contaminazioni incrociate.
Gli strumenti di campionamento devono essere puliti tra un uso e l’altro secondo la necessità, per evitare contaminazioni incrociate.
Le unità possono essere ripartite in maniera casuale tra campioni di laboratorio replicati al momento del prelievo dei campioni elementari qualora le unità siano di dimensioni medie o grandi (come descritto nella tabella 5) e il mescolamento del campione globale non permetta di ottenere campioni di laboratorio più rappresentativi, oppure qualora le unità (per es. uova, frutta a polpa tenera) possano essere danneggiate dal mescolamento.
Se il campionamento non è effettuato come indicato al punto B.2 a causa di effetti commerciali inaccettabili (ad es. per motivi di forma di imballaggio o danneggiamenti al lotto), o se viene applicato un metodo alternativo, purché esso sia sufficientemente rappresentativo per il lotto o il sottolotto sottoposto a campionamento e sia debitamente documentato, il funzionario responsabile del campionamento indica la procedura seguita nel verbale di campionamento di cui al punto B.6.
Le unità non devono essere sezionate o rotte per costituire campioni elementari, salvo qualora ciò sia fatto conformemente alla suddivisione delle unità specificata nella tabella 4.
Tabella 3
Quantità minima/numero minimo di campioni elementari da prelevare da un lotto/sottolotto per costituire il campione globale
| Quantità minima/numero minimo di campioni elementari da prelevare dal lotto/sottolotto | |
| a) Lotto sospetto | Devono essere prelevati due campioni supplementari oltre a quelli indicati alla lettera b) o c) della presente tabella. |
| b) Prodotti, confezionati o sfusi, che si può presumere siano ben mescolati o omogenei | 1 (Un lotto può essere mescolato, ad esempio, in seguito a procedimenti di cernita o di fabbricazione); per partite di grandi dimensioni, cfr. i punti i) e ii) |
| c) Prodotti, confezionati o sfusi, che possono non essere ben mescolati o omogenei | Nel caso di alimenti primari o prodotti di origine vegetale, per i prodotti costituiti da unità di dimensioni medie, grandi o molto grandi, il numero minimo di campioni elementari deve essere conforme al numero minimo di unità richieste per il campione di laboratorio (cfr. tabella 5) |
| Peso o volume del lotto/sottolotto (in chilogrammi o litri) | |
| <50 | 3 |
| ≥50 e ≤500 | 5 |
| ≥500 e ≤30 tonnellate | 10 |
| >30 tonnellate | √ (20 volte il numero di tonnellate che costituiscono la partita campionata)(*), fino a un massimo di 40 campioni elementari * Se il risultato è un numero decimale, si arrotonda al numero intero superiore. Per partite di grandi dimensioni, cfr. i punti i) e ii) |
| Nel caso di partite di grandi dimensioni (partite campionate >500 tonnellate): i) il numero di campioni elementari da prelevare = 40 campioni elementari + √ numero di tonnellate in relazione al controllo delle sostanze o dei prodotti distribuiti uniformemente nell’alimento (ad es. nel caso di un lotto di 529 tonnellate: 40+23=63 campioni elementari da prelevare); ii) o 100 campioni elementari + √ numero di tonnellate in relazione al controllo dei costituenti o delle sostanze che è probabile non siano distribuiti uniformemente nell’alimento (ad es. nel caso di un lotto di 529 tonnellate di frumento: 100+23=123 campioni elementari da prelevare). | |
| Oppure: | |
| Numero di confezioni, barattoli, cartoni o altre unità del lotto/sottolotto | |
| ≤25 | 1 |
| 26-100 | 5 %, almeno 2 unità |
| >100 | 5 %, al massimo 10 unità |
| d) Integratori alimentari confezionati | |
| Numero di confezioni nel lotto/sottolotto | |
| 1-50 | 1 |
| 51-250 | 2 |
| 251-1 000 | 4 |
| >1 000 | 4+1 confezioni per ogni 1 000 confezioni al dettaglio, fino a un massimo di 25 confezioni al dettaglio |
| e) Prodotti vari in lotti di dimensioni sconosciute (applicabile solo al commercio elettronico) | 1 |
| f) Prodotti della pesca e ittici, compresi molluschi e crostacei L’entità minima dei campioni deve essere definita nel piano nazionale di controllo dei residui. Essa deve essere sufficiente affinché i laboratori autorizzati possano eseguire le procedure di analisi necessarie per completare lo screening e la conferma. In particolare, per i prodotti della pesca e ittici, compresi molluschi e crostacei, un campione è costituito da uno o più animali, a seconda dei requisiti dei metodi analitici. | |
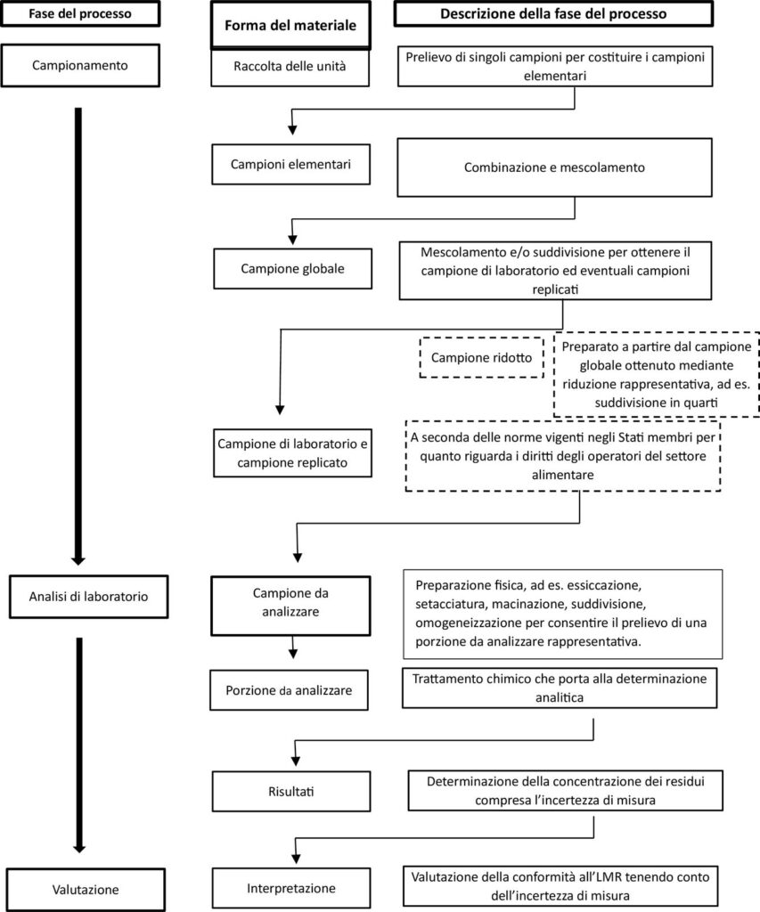
B.3 Preparazione del campione globale/ridotto da parte del funzionario responsabile del campionamento
Il campione globale è ottenuto unendo i campioni elementari.
Le prescrizioni applicabili per le carni e il pollame sono indicate nella tabella 4. Ciascun campione elementare deve essere considerato come un campione globale distinto.
Le prescrizioni applicabili per i prodotti vegetali, le uova o i prodotti lattiero-caseari sono indicate rispettivamente nelle tabelle 5 e 6. I campioni elementari devono essere, se possibile, combinati e ben mescolati per costituire il campione globale.
Se durante il prelievo dei campioni elementari dal lotto/sottolotto sono preparati campioni di laboratorio separati, si considera che il campione globale sia la somma combinata dei campioni di laboratorio.
Se necessario, il campione globale può essere ridotto in modo rappresentativo utilizzando un metodo di riduzione del campione.
Se non è possibile mescolare i campioni elementari per formare il campione globale, può essere applicato il seguente metodo alternativo. Se le unità possono essere danneggiate (con possibili conseguenze sui residui) per effetto del processo di mescolamento o di suddivisione del campione globale, o se si tratta di unità di grandi dimensioni che non possono essere mescolate per ottenere una distribuzione più uniforme dei residui, le unità possono essere ripartite in modo casuale tra più campioni di laboratorio replicati al momento del prelievo dei campioni elementari. In tal caso il risultato da prendere in considerazione è la media matematica dei risultati analitici validi ottenuti dalle porzioni analizzate costituite a partire dai campioni di laboratorio replicati.
B.4 Preparazione, imballaggio, sigillatura e trasporto del campione di laboratorio da parte del funzionario responsabile del campionamento
Il campione di laboratorio è costituito a partire dal campione globale e può essere la totalità o una parte del campione globale. Il funzionario responsabile del campionamento prepara quindi il campione di laboratorio e il campione replicato a partire dal campione ridotto, di entità approssimativamente uguale e conformi ai requisiti quantitativi di cui alla parte B. Il campione replicato può anche essere preparato in laboratorio dal personale di laboratorio. Le unità non devono essere sezionate o rotte per costituire i campioni di laboratorio, salvo nei casi in cui la suddivisione delle unità è specificata nelle tabelle 4 e 5.
Se è di dimensioni maggiori del campione di laboratorio richiesto, il campione globale può essere ridotto in modo da ottenere una porzione rappresentativa. In questo caso è possibile utilizzare uno strumento di campionamento, la suddivisione in quarti o un altro procedimento adeguato di riduzione delle dimensioni, ma le unità di prodotti vegetali freschi o le uova intere non possono essere sezionate o rotte.
L’entità minima richiesta dei campioni di laboratorio è specificata nelle tabelle 4, 5 e 6.
È possibile prelevare da un prodotto campioni di entità inferiore a quelle specificate nelle tabelle 4 e 5 in casi debitamente giustificati (ad es. in caso di elevato valore del prodotto) e a condizione che il campione di entità inferiore non si riveli insufficiente per effettuare un’analisi adeguata. La motivazione di tale scelta deve essere indicata nel verbale di campionamento.
Il campione di laboratorio deve essere posto in un contenitore pulito, chimicamente inerte, non reattivo con l’acqua, che garantisca la protezione dai fattori ambientali e atmosferici e preservi l’omogeneità del campione. Il contenitore deve essere sigillato nel luogo di campionamento, accuratamente e solidamente etichettato e accompagnato dal verbale di campionamento, se cartaceo. Nel caso di procedure senza supporto cartaceo (digitali), il campione deve essere collegato in modo identificabile alla pertinente voce digitale. Se è utilizzato un codice a barre è raccomandato fornire anche le informazioni alfanumeriche.
Il funzionario responsabile del campionamento deve consegnare il campione di laboratorio al laboratorio il più rapidamente possibile. Deve essere evitato il deterioramento dei campioni durante il trasporto, ad es. i campioni di prodotti freschi devono essere tenuti al fresco e i campioni congelati devono restare congelati. I campioni di prodotti alimentari primari di origine animale devono essere congelati prima della spedizione, a meno che non siano trasportati al laboratorio prima che possano deteriorarsi. Nei casi in cui i campioni di prodotti alimentari primari di origine animale siano trasportati non congelati, devono essere evitati il deterioramento o la decomposizione durante il trasporto.
Se un campione replicato è lasciato all’operatore del settore alimentare, tale operatore deve ricevere istruzioni (ad es. mediante un opuscolo) sulle modalità di conservazione e trasferimento del campione al laboratorio per ridurre al minimo la degradazione dei residui. Se l’operatore del settore alimentare non è in grado di soddisfare le prescrizioni in materia di conservazione, il campione deve essere consegnato al laboratorio il prima possibile affinché sia sottoposto a un ulteriore trattamento (ad es. omogeneizzazione) come richiesto dalle procedure dello Stato membro e sia conservato a bassa temperatura finché non sia stato deciso di analizzarlo.
Tabella 4
Alimenti di origine animale: descrizione dei campioni elementari ed entità minima dei campioni di laboratorio
| # | Classificazione dei prodotti (1) | Esempi | Parte di campione elementare da prelevare | Entità minima di ciascun campione di laboratorio | |||
| Prodotti alimentari primari di origine animale | |||||||
| 1 | Muscoli di mammiferi – Categorie: 1011010, 1012010, 1013010, 1014010, 1015010, 1017010 | ||||||
| 1.1 | Mammiferi di grandi dimensioni, carcassa o mezzena, generalmente ≤10 kg | Bovini, ovini, suini | Diaframma intero o parte di esso, completato, se necessario, dal muscolo cervicale | 0,5 kg | |||
| 1.2 | Mammiferi di piccole dimensioni, carcassa | Conigli | Carcassa o quarti posteriori | 0,5 kg spellato e disossato | |||
| 1.3 | Parti di mammiferi alla rinfusa, fresche/congelate, anche confezionate | Quarti, costolette, bistecche, spalle | Una o più unità intere o porzione di una unità di grandi dimensioni | 0,5 kg disossato | |||
| 1.4 | Parti di mammiferi, congelate sfuse | Quarti, costolette | Sezione trasversale congelata di un contenitore o l’insieme (o porzioni) delle singole parti muscolari | 0,5 kg disossato | |||
| 2 | Grassi di mammiferi, compreso il grasso della carcassa – Categorie: 1011020, 1012020, 1013020, 1014020, 1015020, 1017020 | ||||||
| 2.1 | Mammiferi di grandi dimensioni alla macellazione, carcassa o mezzena, generalmente ≥10 kg | Bovini, ovini, suini | Rene, grasso addominale o sottocutaneo prelevato da un animale | 0,5 kg | |||
| 2.2 | Mammiferi di piccole dimensioni alla macellazione, carcassa o mezzena <10 kg | Grasso addominale o sottocutaneo prelevato da uno o più animali | 0,5 kg | ||||
| 2.3 | Parti di mammiferi | Zampe, costolette, bistecche | Grasso visibile, rifilato da una o più unità, oppure una o più unità intere o porzioni di unità intere, se il grasso non può essere rifilato | 0,5 kg 2 kg | |||
| 2.4 | Tessuti adiposi di mammiferi sfusi | Unità prelevate con uno strumento di campionamento da almeno tre punti, se possibile | 0,5 kg | ||||
| 3 | Frattaglie di mammiferi – Categorie: 1011030, 1012030, 1013030, 1014030, 1015030, 1017030 1011040, 1012040, 1013040, 1014040, 1015040, 1017040 1011050, 1012050, 1013050, 1014050, 1015050, 1017050 | ||||||
| 3.1 | Fegato di mammiferi fresco, refrigerato, congelato | Fegato/i intero/i o parti di fegato | 0,4 kg | ||||
| 3.2 | Rene di mammiferi fresco, refrigerato, congelato | Un rene o entrambi, da uno o due animali | 0,2 kg | ||||
| 3.3 | Cuore di mammiferi fresco, refrigerato, congelato | Cuore/i intero/i o, se troppo grande, solo una porzione di ventricolo | 0,4 kg | ||||
| 3.4 | Altre frattaglie di mammiferi fresche, refrigerate, congelate | Unità intera o parte di unità da uno o più animali, o sezione trasversale prelevata dal prodotto congelato sfuso | 0,5 kg | ||||
| 4 | Muscoli di pollame – Categoria: 1016010 | ||||||
| 4.1 | Carcassa di volatili di grandi dimensioni >2 kg | Tacchini, oche, galli, capponi e anatre | Sovracosce, cosce e altri muscoli rossi | 0,5 kg spellato e disossato | |||
| 4.2 | Carcassa di volatili di medie dimensioni 500 g-2 kg | Galline, faraone, pollastri | Sovracosce, cosce o altri muscoli rossi da almeno tre volatili | 0,5 kg spellato e disossato | |||
| 4.3 | Carcassa di volatili di piccole dimensioni <500 g | Quaglie, piccioni | Carcasse di almeno sei volatili | 0,2 kg di tessuto muscolare | |||
| 4.4 | Parti di volatili fresche, refrigerate, congelate, condizionate per la vendita al dettaglio o all’ingrosso | Cosce, quarti, petti e ali | Unità confezionate o singole unità | 0,5 kg spellato e disossato | |||
| 5 | Grassi di pollame, compreso il grasso della carcassa – Categoria: 1016020. | ||||||
| 5.1 | Volatili alla macellazione, carcasse o parti di carcassa | Polli, tacchini | Unità di grasso addominale da almeno 3 volatili, se possibile | 0,5 kg | |||
| 5.2 | Parti di volatili | Cosce, petti, muscoli | Grasso visibile, rifilato da una o più unità, oppure una o più unità intere o porzioni di unità intere, se il grasso non può essere rifilato | 0,5 kg 0,5 kg oppure 2 kg se il tenore di grasso <5 % | |||
| 5.3 | Tessuti adiposi di volatili sfusi | Unità prelevate con uno strumento di campionamento da almeno tre punti | 0,5 kg | ||||
| 6 | Frattaglie di pollame – Categorie: 1016030, 1016040, 1016050 | ||||||
| 6.1 | Frattaglie commestibili di volatili, eccetto il fegato grasso d’oca e d’anatra e simili prodotti di elevato valore | Unità da almeno sei volatili o sezione trasversale di un contenitore, se possibile | 0,2 kg | ||||
| 6.2 | Fegato grasso d’oca e d’anatra e simili prodotti di elevato valore | Unità da un volatile o da un contenitore | 0,1 kg | ||||
| 7 | Miele – Categoria: 1040000 | ||||||
| 7.1 | Miele | Unità confezionate | 0,5 kg | ||||
| 8 | Anfibi e rettili – Categoria: 1050000 (1) | ||||||
| 8.1 | Muscoli | Coccodrilli, lucertole | Unità da coda, corpo e zampe | 0,5 kg | |||
| 8.2 | Rane | Cosce | 0,5 kg | ||||
| 8.2 | Serpenti | Unità dal corpo | 0,5 kg | ||||
| 9 | Animali invertebrati terrestri – Categoria: 1060000 | ||||||
| 9.1 | Chiocciole | Lumache | Chiocciole intere | 12 chiocciole/lumache | |||
| 9.2 | Insetti | Grilli | Insetti interi | 10 insetti interi oppure 0,2 kg | |||
| Larve di locuste, vermi della farina | Larve | 0,5 kg | |||||
| 10 | Animali vertebrati terrestri selvatici – Categoria: 1070000 | ||||||
| 10.1 | Le norme stabilite per gli animali domestici di cui alle categorie da 1 a 3 della presente tabella si applicano al tessuto corrispondente. | ||||||
| Alimenti trasformati di origine animale | |||||||
| 11 | Prodotti alimentari secondari di origine animale, carni essiccate. Prodotti derivati commestibili di origine animale, grassi animali trasformati, compresi grassi fusi o estratti, integratori alimentari. Alimenti lavorati (un unico ingrediente) di origine animale, con o senza un mezzo di confezionamento o ingredienti minori quali agenti aromatizzanti, coloranti (ad es. carminio), spezie e condimenti e insetti in polvere, e che sono generalmente preconfezionati e pronti per il consumo, previa cottura o meno. Alimenti lavorati (con più ingredienti) di origine animale; un alimento con più ingredienti di origine sia animale sia vegetale sarà incluso qui se l’ingrediente o gli ingredienti di origine animale predominano, compresi gli alimenti per la prima infanzia. | ||||||
| 11.1 | Prodotti a base di mammiferi o volatili, sminuzzati, cotti, inscatolati, essiccati, fusi o altrimenti trasformati, compresi i prodotti con più ingredienti | Prosciutti, insaccati, carni bovine macinate, patè di pollo | Unità confezionate o sezione trasversale rappresentativa di un contenitore o unità (compresi gli eventuali succhi) prelevate con uno strumento di campionamento | 0,5 kg | |||
| 11.2 | Integratori alimentari | Collagene | Unità confezionate | 0,1 l o 0,1 kg | |||
Tabella 5
Prodotti vegetali: descrizione dei campioni elementari ed entità minima dei campioni di laboratorio
| Classificazione dei prodotti (2) | Esempi (3) | Parte di campione elementare da prelevare | Entità minima di ciascun campione di laboratorio | |
| Prodotti alimentari primari di origine vegetale | ||||
| 1 | Frutta fresca o congelata – Categoria: 0100000 Ortaggi freschi o congelati – Categoria: 0200000, compresi i funghi (0280000) | |||
| 1.1 | Unità di prodotti di piccole dimensioni <25 g | Bacche, piselli, olive | Unità intere, o confezioni, o unità prelevate con uno strumento di campionamento | 1 kg |
| 1.2 | Prodotti di medie dimensioni, unità 25-250 g | Mele, arance | Unità intere | 1 kg ma almeno 10 unità |
| 1.3 | Prodotti freschi di grandi dimensioni, unità 250-1 000 g | Cetrioli, uve (grappoli, mazzi) | Unità intere | 2 kg ma almeno 5 unità |
| 1.4 | Prodotti freschi di dimensioni molto grandi, unità >1 000 g | Zucche, meloni | Unità intere | 2 kg ma almeno 3 unità |
| 1.5 | Frutta a guscio (0120000) | Eccetto le noci di cocco | Confezioni, o unità prelevate con uno strumento di campionamento | 1 kg |
| Noci di cocco | Unità intere | 5 unità | ||
| 1.6 | Erbe fresche (0256000) | Prezzemolo, salvia | Unità intere | 0,2 kg |
| 2 | Legumi (0300000) | Fagioli, piselli | Confezioni, o unità prelevate con uno strumento di campionamento | 1 kg |
| 3 | Semi oleaginosi (0401000) | Semi di lino | Confezioni, o unità prelevate con uno strumento di campionamento | 0,5 kg |
| 4 | Cereali (0500000) | Riso, frumento | Confezioni, o unità prelevate con uno strumento di campionamento | 1 kg |
| 5 | Semi per bevande e dolciumi | Chicchi di caffè (verde) | Confezioni, o unità prelevate con uno strumento di campionamento | 0,5 kg |
| 6 | Piante da zucchero (0900000) | Barbabietole da zucchero | Unità intere | 2 kg almeno 2 unità |
| Alimenti trasformati di origine vegetale | ||||
| 7 | Prodotti alimentari secondari di origine vegetale, frutta essiccata, ortaggi essiccati, erbe essiccate, infusioni di erbe (0630000), luppolo (0700000), spezie (0800000), prodotti dell’industria molitoria, estratti. Prodotti derivati di origine vegetale, tè, infusi di erbe, oli vegetali e bevande, succhi, integratori alimentari e prodotti vari, ad es. olive trasformate e melassi di agrumi. Alimenti fabbricati (un unico ingrediente) di origine vegetale, con o senza un mezzo di confezionamento o ingredienti minori, quali agenti aromatizzanti, coloranti, spezie e condimenti, e che sono generalmente preconfezionati e pronti per il consumo, previa cottura o meno. Alimenti fabbricati (con più ingredienti) di origine vegetale, compresi prodotti con ingredienti di origine animale se gli ingredienti di origine vegetale predominano, pane e altri prodotti a base di cereali cotti, compresi gli alimenti per la prima infanzia a base di cereali. | |||
| 7.1 | Spezie (0800000) | Noce moscata | Confezioni di unità prelevate con uno strumento di campionamento | 0,1 kg |
| 7.2 | Prodotti di elevato valore unitario | Petali di rosa, zafferano | Confezioni di unità prelevate con uno strumento di campionamento | 0,1 kg (3) |
| 7.3 | Prodotti solidi sfusi leggeri/di piccole dimensioni | Luppolo, tè, infusi di erbe | Unità confezionate o unità prelevate con uno strumento di campionamento | 0,1 kg (3) |
| 7.4 | Altri prodotti solidi | Pane, farina, frutta essiccata | Confezioni o altre unità intere, o unità prelevate con uno strumento di campionamento | 0,5 kg |
| 7.5 | Prodotti liquidi | Oli vegetali, succhi | Unità confezionate o unità prelevate con uno strumento di campionamento | 0,5 l o 0,5 kg |
| 7.6 | Integratori alimentari | Ashwagandha, acai, spirulina | Unità confezionate | 0,1 l o 0,1 kg (3) |
| 7.7 | Alimenti per la prima infanzia | Pronti al consumo, a base di frutta/verdura | Unità confezionate o unità prelevate con uno strumento di campionamento | 0,5 l o 0,5 kg |
Tabella 6
Uova e prodotti lattiero-caseari: descrizione dei campioni elementari ed entità minima dei campioni di laboratorio
| Classificazione dei prodotti (4) | Esempi | Parte di campione elementare da prelevare | Entità minima di ciascun campione di laboratorio | |
| Prodotti alimentari primari di origine animale | ||||
| 1 | Uova di volatili da cortile – Categoria: 1030000 | |||
| 1.1 | Uova, grandi | Oche, anatre o simili | Uova intere | 6 uova intere |
| 1.2 | Uova, medie | Galline e simili | Uova intere | 10 uova intere |
| 1.3 | Uova, piccole | Quaglie e simili | Uova intere | 24 uova intere |
| 2 | Latte – Categoria: 1020000 | |||
| 2.1 | Latte | Unità intere, o unità prelevate con uno strumento di campionamento | 0,5 l | |
| Alimenti trasformati di origine animale | ||||
| 3 | Prodotti alimentari secondari di origine animale, prodotti lattiero-caseari secondari quali latte scremato, latte evaporato, latte in polvere, comprese le formule per lattanti, e uova in polvere. Prodotti derivati commestibili di origine animale, materie grasse provenienti dal latte, prodotti derivati dal latte quali burro, butteroil, crema di latte, crema di latte in polvere, caseine ecc. Alimenti fabbricati (un unico ingrediente) di origine animale, prodotti lattieri elaborati come yogurt e formaggi. Alimenti fabbricati (con più ingredienti) di origine animale, prodotti lattieri elaborati (compresi prodotti con ingredienti di origine vegetale se gli ingredienti di origine animale predominano) come prodotti caseari trasformati, preparazioni a base di formaggi, yogurt aromatizzati, latte condensato dolcificato. | |||
| 3.1 | Latte liquido, latte in polvere, latte evaporato e crema di latte evaporata, gelati a base di prodotti lattiero-caseari, crema di latte e yogurt | Unità confezionate o unità prelevate con uno strumento di campionamento | 0,5 l (liquido) oppure 0,5 kg (solido) | |
| (i) Il latte evaporato e la crema di latte evaporata sfusi devono essere mescolati accuratamente prima del campionamento, raschiando il materiale che ha aderito alle pareti e al fondo dei contenitori e mischiando con cura. Prima di prelevare il campione di laboratorio è necessario rimuovere circa 2-3 l e mischiarli nuovamente. (ii) Il latte in polvere sfuso deve essere campionato in modo asettico, introducendo una sonda asciutta nella massa della polvere a una velocità di penetrazione costante. (iii) La crema di latte sfusa deve essere mescolata accuratamente con un agitatore prima del campionamento, evitando tuttavia di farla schiumare, di sbatterla o di montarla. | ||||
| 3.2 | Burro e butteroil | Burro, burro di siero di latte, creme da spalmare a basso tenore di grasso contenenti grasso butirrico, butteroil anidro, grasso anidro | Unità confezionate intere o parti di esse, o unità prelevate con uno strumento di campionamento | 0,2 kg oppure 0,2 l |
| 3.3 | Formaggi, compresi i formaggi fusi | |||
| Unità di 0,3 kg o superiori | Unità intere o unità sezionate con uno strumento di campionamento | 0,5 kg | ||
| Unità <0,3 kg | 0,3 kg | |||
| Nota: i campioni di formaggi a base circolare sono prelevati praticando due tagli a raggio a partire dal centro. I campioni di formaggi a base rettangolare sono prelevati praticando due tagli paralleli ai lati. | ||||
| 3.4 | Ovoprodotti liquidi, congelati o essiccati | Unità prelevate in modo asettico con uno strumento di campionamento | 0,5 kg | |
B.5 Campione replicato
Il personale di laboratorio o il funzionario responsabile del campionamento devono prelevare il campione replicato dal campione globale accuratamente mescolato, dal campione di laboratorio o dal campione da analizzare. I campioni replicati sono preparati allo stesso modo dei campioni di laboratorio.
B.6 Verbale di campionamento
Dopo ogni procedura di campionamento deve essere redatto un verbale che contenga almeno i dati seguenti:
(1) dichiarazione attestante che il campionamento è stato effettuato conformemente alle norme stabilite dal regolamento di esecuzione (UE) 2026/765;
(2) indirizzo delle autorità competenti;
(3) nome o codice di identificazione del funzionario responsabile del campionamento;
(4) numero di identificazione (ufficiale) del campione;
(5) data del campionamento;
(6) nome e indirizzo dell’operatore del settore alimentare;
(7) nome e indirizzo dell’azienda di origine (quando il campionamento ha luogo presso l’azienda);
(8) numero di registrazione dello stabilimento o numero del macello, se del caso;
(9) descrizione dell’animale, della pianta o del prodotto o denominazione dell’alimento;
(10) dimensioni del lotto;
(11) identificativo del lotto;
(12) se del caso, medicazioni nelle quattro settimane precedenti il campionamento (quando esso ha luogo presso l’azienda);
(13) programma di campionamento, se del caso;
(14) osservazioni particolari, se del caso.
Il funzionario responsabile del campionamento deve:
(a) firmare o autenticare una copia cartacea o elettronica del verbale di campionamento;
(b) fornire una copia del verbale di campionamento all’operatore del settore alimentare del lotto/sottolotto, o al suo rappresentante, indipendentemente dal fatto che a tale operatore debba essere fornito o no un campione replicato.
Se i documenti di campionamento sono cartacei, l’autorità competente deve conservare la copia originale del verbale di campionamento oppure il funzionario responsabile del campionamento deve inviare tale copia originale al laboratorio.
Deve essere garantita la riservatezza conformemente all’articolo 8 del regolamento (UE) 2017/625.
Qualsiasi deviazione dal metodo di campionamento specificato deve essere descritta in dettaglio nel verbale di campionamento.
Se i documenti di campionamento sono cartacei, ciascun campione di laboratorio replicato deve essere accompagnato da una copia firmata del documento. Se i documenti di campionamento sono prodotti in formato non cartaceo (digitale), devono essere adottate disposizioni atte a garantire una pista di controllo verificabile analoga.
B.7 Preparazione del campione da analizzare da parte del laboratorio
I campioni di laboratorio che non sono analizzati immediatamente devono essere conservati in laboratorio in condizioni che riducano al minimo il deterioramento. I prodotti freschi, le bevande e gli oli devono essere conservati in frigorifero, ma di norma per non più di cinque giorni. I prodotti essiccati, le conserve e i prodotti in scatola possono essere conservati a temperatura ambiente, ma se si prevede che il tempo di conservazione superi le quattro settimane devono essere sottoposti a sottocampionamento e conservati nel congelatore.
Il laboratorio deve preparare il campione da analizzare a partire dal campione di laboratorio separando la porzione del prodotto da analizzare, ossia la parte di prodotto a cui si applica l’LMR (5), e successivamente mescolandola, macinandola, tritandola finemente, sminuzzandola ecc. per prelevare porzioni da analizzare con bias di sottocampionamento minimi. La preparazione del campione da analizzare deve riflettere la procedura utilizzata per la fissazione degli LMR e quindi la porzione da analizzare può comprendere parti che di solito non vengono consumate.
Se necessario, il campione di laboratorio può essere ridotto in modo rappresentativo utilizzando un metodo di riduzione del campione.
La parte del prodotto da analizzare, ossia il campione da analizzare, deve essere prelevata il prima possibile. Se è necessario calcolare il livello di residuo anche per le parti che non sono analizzate (6), occorre indicare il peso delle parti separate.
B.8 Preparazione e conservazione della porzione da analizzare da parte del laboratorio
Il campione da analizzare deve essere frazionato, se necessario, e mescolato accuratamente in modo da permettere al laboratorio di prelevare porzioni rappresentative da analizzare. Per prelevare la porzione da analizzare può essere utilizzato uno strumento. L’entità della porzione da analizzare deve essere stabilita in funzione del metodo analitico e dell’efficacia del mescolamento. I metodi di frazionamento e di mescolamento devono essere indicati e non devono incidere sui residui presenti nel campione da analizzare. Se del caso, il campione da analizzare deve essere trattato in condizioni speciali, ad es. congelato, per ridurre al minimo gli effetti negativi.
Se tale trattamento può avere un’incidenza sui residui e non sono disponibili procedure alternative, la porzione da analizzare può essere costituita da unità intere o da segmenti prelevati da unità intere. Se è quindi composta da un certo numero di unità o di segmenti, è probabile che la porzione da analizzare non sia rappresentativa del campione da analizzare e in questo caso deve essere analizzato un numero sufficiente di porzioni replicate in modo da indicare l’incertezza del valore medio.
A seconda dei dati sulla stabilità alla conservazione disponibili, potrebbe essere possibile conservare porzioni da analizzare prima dell’analisi. In tal caso il metodo, la durata e la temperatura di conservazione devono essere tali da non incidere sul livello dei residui presenti.
B.9 Presentazioni schematiche
Presentazioni schematiche delle procedure di campionamento di cui ai punti B.2, B.3 e B.4:
B.9.1. Campionamento di prodotti a base di carne e pollame
| Campioni elementari da lotti/sottolotti sospetti (cfr. tabelle 3 e 4) | Campioni elementari da lotti/sottolotti sospetti (cfr. tabelle 3 e 4) |

B.9.2. Campionamento di prodotti diversi da carni e pollame
| Campioni elementari da lotti/sottolotti sospetti (cfr. tabelle 3, 5 e 6) | Campioni elementari da lotti/sottolotti non sospetti (cfr. tabelle 3, 5 e 6) |

B.9.3. Tipico processo di campionamento e analisi

PARTE C
METODI DI ANALISI, INCERTEZZA DI MISURA E INTERPRETAZIONE DEI RISULTATI
C.1 Metodi di analisi e determinazione dei risultati analitici
C.1.1 I metodi di analisi devono essere supportati da dati relativi al controllo della qualità e devono essere convalidati per la combinazione specifica di sostanza/gruppo di prodotti. Come minimo deve essere convalidato un prodotto rappresentativo per ciascun gruppo di prodotti, a seconda dell’ambito di applicazione previsto del metodo. Se il metodo è applicato a un’ampia varietà di matrici, è opportuno acquisire dati di convalida complementari.
I risultati analitici per gli alimenti devono essere ottenuti da uno o più campioni di laboratorio, mentre quelli per i mangimi devono essere ottenuti da almeno un campione finale prelevato dal lotto/sottolotto, a condizione che il campione da analizzare contenga la parte o le parti corrette del prodotto come stabilito nell’allegato I del regolamento (CE) n. 396/2005. Se è constatato che un residuo supera un LMR, la sua identità deve essere confermata e la sua concentrazione deve essere verificata mediante un’analisi in doppio (seconda determinazione indipendente).
C.1.2. Il risultato analitico deve essere espresso come x+/-U, dove «x» è il risultato analitico e «U» è l’incertezza di misura estesa, che deve essere espressa nelle stesse unità e con lo stesso numero di cifre decimali del risultato.
C.2 Incertezza di misura e interpretazione dei risultati
C.2.1. L’LMR si applica al campione da analizzare ottenuto dal campione globale attraverso il campione di laboratorio o il campione replicato. Il risultato del campione di laboratorio per gli alimenti e del campione finale per i mangimi deve essere considerato rappresentativo del lotto/sottolotto e si applica all’intero lotto/sottolotto.
C.2.2. Nel controllare il superamento degli LMR, i laboratori ufficiali e le autorità di contrasto devono applicare un’incertezza di misura estesa predefinita (7), calcolata sulla base dei dati a lungo termine delle prove comparative interlaboratorio dell’UE applicando un fattore di copertura pari a 2 (livello di confidenza del 95 %). L’incertezza di misura estesa è del 50 % ad eccezione del rame, per il quale si applica un valore del 20 %, ai fini dell’applicazione degli LMR. Il laboratorio di analisi deve dimostrare che la propria incertezza di misura estesa per la specifica combinazione di metodo analitico/sostanza/gruppo di prodotti è pari o inferiore ai suddetti valori predefiniti. In caso di superamento degli LMR, il laboratorio deve comunicare l’incertezza di misura estesa predefinita armonizzata.
Se il livello riscontrato in un campione alimentare determina un valore IESTI (International Estimate of Short-term Intake) che supera la dose acuta di riferimento (DAR), in via precauzionale l’autorità competente può applicare un’incertezza di misura estesa inferiore, sulla base dell’incertezza di misura stimata dal laboratorio (se suffragata da sufficienti dati intralaboratorio e interlaboratorio) e/o un livello di confidenza inferiore (fattore di copertura k inferiore).
C.2.3. Interpretazione del risultato analitico tenendo conto dell’incertezza di misura estesa

C.2.4. Un lotto/sottolotto si deve considerare:
(a) conforme all’LMR se il risultato del campione da analizzare è conforme all’LMR, tenendo conto dell’incertezza di misura estesa e, se necessario, della correzione per recupero. Ciò significa che il campione è conforme se il valore misurato, da cui è sottratta l’incertezza estesa, è pari o inferiore all’LMR (x-U ≤ MRL);
(b) non conforme all’LMR se il risultato del campione da analizzare è superiore all’LMR oltre ogni ragionevole dubbio, tenendo conto dell’incertezza di misura estesa e, se necessario, della correzione per il bias del metodo, ove indicato. Ciò significa che il campione non è conforme se il valore misurato, da cui è sottratta l’incertezza estesa, supera l’LMR (x-U > MRL) (8).
C.2.5. Accettazione e rifiuto di una partita costituita da più di un lotto
Qualsiasi lotto sottoposto a campionamento conformemente al presente regolamento e per il quale il risultato analitico evidenzi il superamento dell’LMR deve essere considerato nella sua interezza non conforme come specificato al punto C.2.4.b e deve essere rifiutato.
Il funzionario responsabile del campionamento deve determinare il lotto sottoposto a campionamento di una partita, che può essere diverso dal lotto dell’operatore del settore alimentare. Il lotto sottoposto a campionamento può essere un lotto o un gruppo di lotti aventi le stesse proprietà (data di produzione, origine, descrizione ecc.).
Se un lotto, parte di un gruppo di lotti aventi le stesse proprietà, è risultato non conforme e vi è un ragionevole dubbio che gli altri lotti simili superino l’LMR, tali altri lotti simili devono essere considerati lotti sospetti.
(1) Conformemente alla classificazione dei prodotti di cui all’allegato I del regolamento (CE) n. 396/2005.
(2) Conformemente alla classificazione dei prodotti di cui all’allegato I del regolamento (CE) n. 396/2005.
(3) I prodotti elencati come esempi potrebbero rientrare in una categoria diversa se le dimensioni medie delle unità fossero superiori o inferiori. Ad esempio, le dimensioni di cetrioli e patate possono variare da piccole a grandi.
(4) Conformemente alla classificazione dei prodotti di cui all’allegato I del regolamento (CE) n. 396/2005.
(5) Allegato I del regolamento (CE) n. 396/2005.
(6) Per esempio, i noccioli della frutta non sono analizzati ma il livello di residui è calcolato presupponendo che essi siano inclusi pur senza contenere residui.
(7) BIPM, «JCGM 100:2008 – Guide to the expression of uncertainty in measurement», 2008.
(8) Esempio: se LMR = 1, il risultato x = 2,2 e U = 50 %, allora x-U = 2,2-1,1 (= 50 % di 2,2) = 1,1, che è > LMR.
Alimenti privi di tracciabilità e congelati con metodo non idoneo